INDAGINI GEOFISICHE
Prospezioni sismiche
Le prospezioni sismiche consentono di indagare, caratterizzare il sottosuolo in modo esteso e non invasivo. Registrando e successivamente analizzando la variazione delle velocità e i contrasti di impedenza in profondità di onde sismiche prodotte artificialmente, è possibile ricostruire l’andamento dei terreni nel sottosuolo, riconoscerne la natura e valutarne le caratteristiche fisiche e meccaniche. Inoltre, con questa metodologia si esamina in maniera continua una sezione estesa di sottosuolo riproducendo quindi i risultati ottenuti in rappresentazioni 2D e 3D, determinando importanti vantaggi rispetto all’isolato utilizzo di sondaggi puntiformi.
Le nuove disposizioni legislative sui criteri generali per la classificazione sismica del territorio nazionale e di normative tecniche per le costruzioni in zona sismica prevedono l’utilizzo delle indagini geofisiche per la progettazione sia degli edifici di interesse strategico e delle opere infrastrutturali – la cui funzionalità durante gli eventi sismici assume rilievo fondamentale per le finalità di protezione civile.
Sismica a riflessione
Le prospezioni sismiche a riflessionepoco profonde (20-200 m)misurano in superficie le onde riflesse provenienti dall’interfaccia di una superficie di discontinuità, e sono utilizzate per ottenere informazioni riguardo la profondità e la forma geometrica delle interfacce. La frazione dell’energia spesa per produrre onde riflesse dall’interfaccia, dipende dal contrasto di impedenza acustica del mezzo e dall’angolo di incidenza dell’onda incidente. La sismica a riflessione poco profonda può essere usata per scopi ingegneristici.

Vantaggi della riflessione
- Mappatura degli strati a bassa velocità i quali non sono valutabili con la rifrazione.
- Individuazione delle variazioni laterali e verticali dei vari sismostrati, a profondità superiori rispetto le metodologie comunemente utilizzate come masw e rifrazione.
- Individuazione di strutture geologiche complesse: lenti, pieghe, faglie, superfici di frana, ecc…
- Bassi costi.
- Indagine non invasiva.

Sismica a rifrazione
La tecnica di prospezione sismica a rifrazione consiste nella misura dei tempi di primo arrivo delle onde sismiche generate in diversi punti in superficie (punti di sparo), in corrispondenza di una molteplicità di punti disposti allineati sulla superficie topografica (geofoni). Lo studio della propagazione delle onde sismiche consente di valutare le proprietà meccaniche e fisiche dei terreni, la compattezza dei materiali da queste attraversati, l’andamento della sismo stratigrafia nel sottouolo e i valori delle velocità delle onde Vp e Vs.
Mediante questo tipo di indagine si può risalire alla probabile composizione litologica di massima dei terreni, al loro grado di fratturazione, alla geometria delle prime unità sottostanti la coltre superficiale, alla profondità in cui si trova la roccia di fondo (“bedrock”), alla sua forma e talora, in terreni alluvionali, alla profondità della falda freatica.
L’elaborazione dei dati sismici, con un completo modello matematico bidimensionale appoggiato da procedure iterative, consente di massimizzare la risoluzione e il dettaglio di ricostruzione del modello di velocità attribuito al terreno in esame.Utilizzando quindi le distanze tra il punto di scoppio e quello di ricezione e i tempi di primo arrivo dei segnali sismici, vengono ricavate le dromocrone (curve tempi-distanze), dalle quali si risale, tramite opportuno programma di calcolo, alle velocità reali nei singoli strati, al loro spessore, profondità, forma ed inclinazione.
Tomografia sismica in onde S e P
è una tecnica di elaborazione che ha bisogno di un modello iniziale di velocità. Avviene iterativamente il tracciamento dei raggi attraverso il modello, comparando i tempi calcolati ai tempi misurati si modifica il modello e si ripete il processo fino a che la differenza tra i tempi misurati e calcolati non risulti minima. Tale tecnica che è sempre affiancata alla sismica a rifrazione classica permette una ricostruzione molto dettagliata del modello geologico. Inoltre risolve il problema delle inversioni di velocità se l’alternanza tra gli strati veloci e lenti non hanno una notevole continuità laterale. Per esempio una lente limosa con Vp o Vs basse interposta tra strati più consistenti con Vp o Vs più alte può essere ricostruita dal modello.
Questa metodologia ha la stessa modalità di esecuzione della sismica a rifrazione con la differenza che il numero di energizzazioni è maggiore e il metodo di elaborazione è più complesso. La tomografia sismica a rifrazione può essere impiegata per ricostruire con eccellente dettaglio superfici di frana, vecchie cave ritombate, discontinuità litologiche laterali, lenti più o meno estese, identificazione di faglie ecc… Questo tipo di elaborazione permette il calcolo delle Vp o Vs in maniera continua sia verticalmente che orizzontalmente, gli elaborati prodotti quindi permettono una zonazione più diversificata dei parametri geotecnici.
Esempi di sezioni 2D in onde P


Esempi di sezioni 2D in onde SH


Indagini Masw (Multichannel Analysis of Surface Waves)
L’acronimo masw (Multichannel Analysis of SurfacesWaves) è l’analisi della dispersione delle onde di superficie nel sottosuolo, da cui si vuole ottenere il profilo Vs.
L’analisi si sviluppa in due passaggi fondamentali:
- Determinazione dello spettro di velocità
- Inversione delle curve di dispersione
Per la determinazione dello spettro, i dati vengono acquisiti nel dominio del tempo (offset-tempo) per poi essere trasposti nel dominio frequenza velocità. In questo modo è possibile determinare la velocità di ciascuna componente in frequenza.

Esempio spettro
Per quanto riguarda l’inversione, da cui si otterrà il profilo delle Vs con la profondità, si effettua l’inversione totale dello spettro per cui si genereranno dei sismogrammi sintetici, dai quali uno spettro di velocità sintetico e di conseguenza il calcolo dell’errore tra lo spettro misurato e quello sintetico.

Esempio di spettro sintetico
Lo spettro sintetico si traduce in una distribuzione dei modi non determinata manualmente in base alla sola osservazione della curva di dispersione, ma in base al dato reale misurato. Ovviamente quest’ ultimo dovrà essere ripulito da disturbi ed essere un segnale che caratterizza veramente la dispersione delle onde di superficie, tralasciando porzioni dello spettro caratterizzate da fenomeni di altra natura.

Esempio di distribuzione dei nodi
L’analisi delle onde di superficie possono essere fatte per varie componenti; Verticale, Orizzontale o Radiale, e i loro spettri possono essere invertiti congiuntamente per avere un modello più vincolato e più realistico.
Esempio di analisi congiunta tra spettri relativi a componenti, verticale, radiale, orizzontale.






L’analisi congiunta può essere fatta anche con le curve hvsr scaturite da misure passive.
Esempio

L’analisi congiunta della componente radiale e verticale delle onde di superficie, permette di vincolare maggiormente il modello delle velocità del suolo, utilizzando un altro oggetto chiamato superficie RPM, la quale utilizza il concetto di movimento progrado e retrogrado delle onde di superficie. Data una superficie rpm misurata, si arriva ad un modello sismo stratigrafico, la cui curva rpm sintetica calcolata assomiglia a quella misurata.

Il risultato finale di un’analisi che unisce le componenti verticali, radiali, orizzontali, insieme alla curva hvsr e la superficie rpm, sarà un profilo Vs del sottosuolo:

GEOFONO PER INDAGINI SISMICHE IN FORO
La prospezione sismica Down Hole rappresenta una delle più accurate prove sismiche per la determinazione delle proprietà fisico-meccaniche dei terreni ed è finalizzata alla determinazione dei profili delle onde sismiche di compressione P e di taglio S, con la profondità. Questo tipo di misure è richiesto e viene effettuato quando è necessario un’accurata conoscenza delle caratteristiche elastiche dei litotipi, a loro volta impiegate nell’analisi degli effetti di amplificazione simica locale. Con la prova Down Hole si misurano i tempi di arrivo di impulsi sismici generati in superficie e diretti verso un ricevitore posto all’interno di un foro di sondaggio verticale.La prova, che necessita quindi di un solo foro di sondaggio alle cui pareti viene ancorato un geofono tridimensionale, consente la misura direttadellavelocità di propagazione Vpe Vs e la determinazione dei parametri elastici deiterreni in condizioni dinamiche.
La metodologia di indagine si basa sull’acquisizione e la lettura dei tempi di propagazione delle onde sismiche generate e rilevate con intervalli di 1 metro lungo la profondità del foro.
L’interpretazione consiste nel diagrammare i tempi di tragitto sorgente-ricevitore in funzione della profondità z, in modo tale da ottenere, con operazioni di calcolo differenziate, le velocità e gli spessori degli stratiindagati.
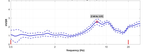
Sismica passiva HVSR (Horizontal to Vertical Spectral Ratio)
L’indagine HVSR è una tecnica di indagine di sismica passiva a stazione singola, non invasiva, finalizzata a determinare alcune caratteristiche dei depositi sedimentari superficiali e più in particolare allo studio delle frequenze di risonanza dei terreni, caratteristica molto importante per valutare gli effetti di sito in presenza di potenziali eventi sismici.
La prova HVSR o anche detta H/V (metodo Nakamura 1989) consiste nella misura dei microtremori ambientali nelle tre dimensioni spaziali (x,y,z) e la sua elaborazione consente di analizzare gli spettri di frequenza, restituendo un grafico del rapporto in ampiezza tra componenti orizzontali (H) e componente verticale (V).
Dal grafico estratto si evidenzia l’andamento del rapporto in frequenza tra componenti orizzontali e verticale (H/V) alle varie frequenze, mettendo in luce la frequenza alla quale il moto del terreno viene amplificato per risonanza (frequenza fondamentale).
L’uso della prova HVSR trova la sua utilità nelle seguenti discipline:
- Individuazione delle frequenze di risonanza di sito
- Individuazione delle frequenze di risonanza di una struttura/edificio
- Microzonazione sismica, tramite l’osservazione dei picchi di frequenza
- Stima delle VS eq e determinazione della categoria sismica
- Stima profondità delle discontinuità del substrato
Esempi curvehvsr


Indagini geoelettriche
Le indagini geoelettriche rappresentano una moderna metodologia d’indagine geofisica non invasiva e si basano sulla rilevazione di resistività elettrica delle varie tipologie di terreni investigati. La prova viene effettuata posizionando sul terreno un gran numero di elettrodi connessi ad uno strumento chiamato georesistivimetro, in grado di acquisire migliaia di misurazioni che, opportunamente processate mediante relativi software di elaborazione permettono la ricostruzione del sottosuolo con un dettaglio inimmaginabile fino a poco tempo fa. Il metodo di misura per la resistività è quello di iniettare una corrente continua o alternata, mediante geometrie (Array) ottimali a seconda delle condizioni geologiche, della profondità di investigazione e della sensitività. La sensitività è un indice di quanto un cambiamento di resistività di una porzione di sottosuolo influenzi le misure eseguite con un certo array.
Sondaggi Elettrici Verticali (SEV)
Il metodo di prospezione geoelettrica SEV consiste nel determinare la resistività elettrica del terreno lungo una verticale (1D). Questa tecnica permette di eseguire le misure in profondità posizionando quattro elettrodi (A-B di corrente e N-M di potenziale), in una linea d’indagine superficiale, disposti secondo una configurazione prestabilita. Lo stesso array viene eseguito più volte a distanze progressive e crescenti tra loro ripetendo la misura di resistività elettrica.
L’intero stendimento viene allungato in funzione della profondità da investigare.
Metodi geoelettrici 2D e 3D (Tomografia Elettrica)
Queste prospezioni geoelettriche vengono eseguite effettuando numerose misurazioni di resistività e polarizzazione indotta, mediante quadripoli disposti lungo profili (2D) o aree di indagine (3D), utilizzando elettrodi di solito equi-spaziati lungo la linea di indagine, con configurazioni di acquisizione di tipo Dipolo-Dipolo, Wenner (Alfa, Beta, Gamma), Wenner-Schlumberger, Polo-Dipolo, Polo-Polo, Array misti e di tipo non convenzionali.
Esempi sezione geoelettriche 2D


A cosa servono le indagini geoelettriche?
- Monitoraggio ambientale (es. discariche, dispersione inquinanti a lungo termine, inquinamento del suolo, ecc.)
- Idrogeologia(ricerca acqua, modellazione acquiferi, mappatura permeabilità, ecc.)
- Geotecnica (superfici di scollamento, ecc.)
- Rilevamento cavità antropiche e naturali
- Ricostruzione stratigrafica del sottosuolo
Indagini georadar
Il metodo d’Indagine georadar o G.P.R. (Ground Probing Radar) è un sistema di indagine geofisica adatto alle basse profondità del sottosuolo. Si basa sulla generazione di onde elettromagnetiche (radiofrequenze) a bassa frequenza (per una maggiore penetrazione) oppure ad alta frequenza (per una migliore risoluzione e qualità dell’immagine radar). Queste vengono inviate nel terreno con il fine di registrare le discontinuità dei segnali riflessi in relazione al tempo impiegato per ritornare al ricevitore. Le durate e le ampiezze sono funzione dell’interfaccia di separazione dei differenti materiali dielettrici (isolanti). La strumentazione è costituita da antenne emittenti e riceventi che, a seconda della frequenza d’esercizio, possiedono diversi valori di portata e risoluzione. Ne deriva che un aumento della frequenza genera un incremento della risoluzione ma una diminuzione della profondità di esplorazione. Il metodo georadar o G.P.R. è utilizzato per: indagare strutture nascoste, cavità e sottoservizi; ricercare danni strutturali e posizioni di armature; dedurre gli spessori di rivestimento gallerie, etc.
Nonostante il metodo vanti rapidità di esecuzione, esso invece è carente per velocità di elaborazione e non garantisce sufficiente attendibilità in presenza di materiali aventi buona conducibilità elettrica (acqua, terreni argillosi, ecc.).

METODO VLF
Il WADI (Wadi VLF instrument interpretation guide, Abem Geophysics, Bromma -Sweden-, 1989) è uno strumento geofisico altamente specializzato e facile da usare. I risultati che fornisce sono affidabili e sistematici, sono infatti ripetibili indipendentemente da chi è l’operatore. Tuttavia, così come qualsiasi strumento geofisico, il WADI rileva soltanto delle strutture fisiche presenti nel terreno o nel corpo roccioso e non può garantire che queste strutture corrispondano a siti produttivi per l’acqua. Infatti oltre ad individuare l’acqua lo strumento individua anche giacimenti minerari e altre strutture sotterranee di conduttori. Ciò nonostante, il principio VLF su cui si basa il WADI ha un’eccellente capacità di rilevare concentrazioni di acqua nelle rocce dure.
Il Wadi utilizza le componenti magnetiche del campo elettromagnetico generato dai trasmettitori radio militari VLF (Very Low Frequency, bassa frequenza, 15-30 kHz). Questi sono usati soprattutto per le comunicazioni a lunga distanza e sono usati dai sommergibili per determinare la propria posizione. Per questo esiste una rete di emettitori che garantisce che in ogni punto del globo arrivino almeno due segnali VLF. La potenza delle antenne emettitrici è solitamente di circa 300-1000 kwatt. Un’antenna VLF è solitamente composta da un cavo verticale lungo alcune centinaia di metri. Il campo magnetico creato dall’antenna è orizzontale e le linee di campo sono allineate in cerchi concentrici attorno all’antenna.
Conduttori elettrici, anche quando sepolti da spesse coperture, influenzano localmente la direzione e la forza del campo generato dal segnale radio. Quando il campo elettromagnetico generato dal trasmettitore VLF passa attraverso un conduttore, si formano all’interno del corpo conduttore delle correnti secondarie. Questo è il principio dell’induzione. Queste correnti secondarie a loro volta generano un campo magnetico secondario che si oppone al campo magnetico primario. Solo un corpo con una bassa resistenza elettrica (come uno che contiene acqua) può generare un campo secondario. Una struttura geologica con conducibilità maggiore del mezzo circostante crea quindi attorno a se un campo secondario. Questo campo può essere analizzato e misurato.
Il WADI misura le variazioni della forza del campo magnetico e le sue deformazioni rispetto all’onda originale in corrispondenza, ad esempio, di una zona di frattura della roccia. Per far si che avvenga il massimo dell’induzione, la struttura deve avere una direzione allineata con la direzione del trasmettitore. È necessario quindi, al momento della raccolta dati, scegliere, tra i diversi segnali VLF, quello proveniente dal trasmettitore più appropriato.
Le anomalie del campo elettromagnetico di bassa frequenza generate dalle strutture geologiche, possono essere generate fino ad una certa profondità, oltre la quale il segnale originale non arriva. Questa profondità dipende dalla frequenza utilizzata e dalla resistività del materiale attraversato.

STRUMENTAZIONI IN DOTAZIONE
SISMOGRAFI GEA24

Dotazione: 4 sismografi “PASIgea 24” per indagini sismiche a riflessione / rifrazione / sismica attiva e passiva e analisi delle onde di superficie.
Totale di 96 canali per coperture superiori a 2400 % per indagini di sismica a riflessione.
ENERGIZZATORI PER SISMICA A RIFLESSIONE

Maglio da 100 Kg montato su penetrometro pagani con motore silenziato. Possibilità di eseguire numerosi stack ad ogni energizzazione, collegabile a radio trigger.


TERNA TRIASSIALE 3dlg2

GEOFONO DA FORO

Numero di geofoni 3 geofoni con freq.naturale 10Hz+/-5% (1 vert.+ 2 orizz.), ad alta sensibilità (100V/m/sec +/-5%)
Lunghezza cavo 50m o 100m, graduato in metri, montato su rullo avvolgicavo con supporto portasonda
Dimensioni sonda Ø51mm, lunghezza 570mm (involucro in alluminio anodizzato)
Diametro foro Min. 55mm, max. 110mm (con blocco spaziatore standard; diametri maggiori su richiesta)
Dimensioni avvolgicavo 540x400x250mm
Peso GFA-50: <12kg; GFA-100: <17kg
Collegamento al sismografo Standard: Cannon tipo NK2721C (GEA24, 16SN-U-P) o Souriau (GEA3, Anteo)
POLARES

Georesistivimentro per indagini geoelettriche multicanaleert e misure sev. Totale 96 elettrodi.
ENERGIZZATORI IN CORRENTE CONTINUA P200

2 energizzatori P200 in serie, erogazione fino a 400 Volt e 1 A per indagini sev profonde.
WADI VLF prodotto dalla ditta ABEM

Trasmettitore per VLF TX27 della ditta GEONIX LIMITED

Il WADI VLF, con trasmettitore.
Strumento geofisico altamente specializzato che fornisce affidabili e sistematici. Il WADI rileva strutture fisiche presenti nel terreno o nel corpo. Infatti oltre ad individuare l’acqua lo strumento individua anche giacimenti minerari e altre strutture sotterranee di conduttori.
